basejn написа:Един стъпков мотор със какви обороти максимални може да се върти.Няма еднозначен отговор. Колкото може да се постигне - толкова. Просто идва един момент, е който импулсите към мотора стават много и той не може да ги отработи. По-високото напрежение обикновено води до по-стабилна работа, но пак не може да увеличаваш скоростта безкрайно.
velsi написа:Holding Torque - удържащ въртящ момент. Тоест при какъв момент двигателя ще превърти, когато е в покой, но под напрежение.Holding Torque - удържащ въртящ момент и Detent Torque - въртящ момент на мотора и аз така ги разбирам.
Current - ток през една от фазите (намотка) на мотора.
Resistance - съпротивление на фаза (намотка).
Inductance - индуктивност на фаза (намотка).
Detent Torque - въртящ момент на мотора.
Rotor Inertia - инерция на мотора при спиране.
Ако нещо не съм обяснил правилно, нека някой ме поправи. Аз така ги разбирам тези данни.
За избора на мотор е най-важен неговия въртящ момент, също и тока.
Nema 34 и Nema 42 освен размера имат и различен присъединителен размер, затова винаги пише какъв точно е мотора.
Rotor Inertia е "махов" инерционен момент и има значиние не само при спиране, а и при ускорение на мотора. По малката стойност е предимство. Сам този момент няма значение, а има заедно с инерционния момент на цялата система-мотор, предавка, винт, мост и пр.
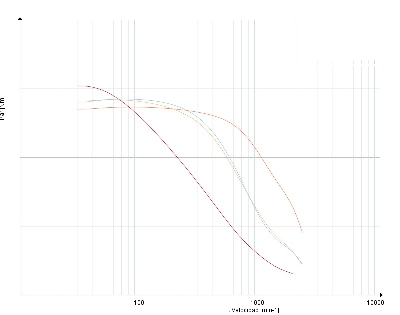
Ако два мотора Nema 34 и Nema 42 имат сходни характеристики, би трябвало да се погледнат графиките въртящ момент-честота. Предимство има този, който при по-висока честота започва рязко да си понижава въртящия момент. Обикновено това е мотора с по-малка индуктивност на намотките.
Ако и по този показател са сходни, тогава за избора имат значение цена, конструктивни размери и др.
Токът има значение за избор на схема за управление. Моторите с 8 извода могат да се свържат по няколко схеми-униполярно (по-проста схема за управление, 20-30% по-малък въртящ момент) или биполярно. При биполярно свързване намотките две по две могат да се свържат последователно-по-малък ток, но и честота на въртене, или паралелно- двойно по-голям ток и по-висока честота на въртене.
Мисля, че най-добре може да се ориентира човек чрез сравнение с реално изпълнени конструкции.
