Здравейте.
Искам да ви попитам как да си изведа Sm от формулата на снимката която съм качил ?
Вижте другата снимка където съм изразил Sm но не е правилна - нещо бъркам при изразяването.
Моля ви помагайте
Искам да ви попитам как да си изведа Sm от формулата на снимката която съм качил ?
Вижте другата снимка където съм изразил Sm но не е правилна - нещо бъркам при изразяването.
Моля ви помагайте
Прикачен файл
Това е формулата която аз съм получил но не е правилна.
sssssssssssssss.jpg (3.23 KиБ) Видяна 3316 пъти
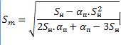
Прикачен файл
Това е формулата от която трябва да изразим Sm
Untitled.jpg (2.82 KиБ) Видяна 3316 пъти